Published 2017 | Version v1
Periodical article Open

Hyperfine structure: from hydrogen to antihydrogen

Authors/Creators

  • 1. ROR icon European Organization for Nuclear Research

Contributors

Description

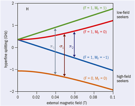
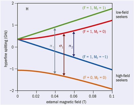
Earlier this year, the ASACUSA experiment at CERN's Antiproton Decelerator published the most precise in-beam measurement of the hydrogen ground-state hyperfine splitting, and is now preparing for new measurements.

Files

vol57-issue10-p023-e.pdf

Files (1.1 MB)

Name Size Download all
md5:2de30fd4f897aca20bd3f2911d8b13b0
617.1 kB Preview Download
md5:bcba2b5c27a9e85032ab22254aff1d29
309.4 kB Preview Download
md5:5543d977325ccc37c006665b471fa0d2
56.1 kB Preview Download
md5:84731a1a0bedd755541d0d59190f30b8
82.2 kB Preview Download
md5:c0e9e867b4e1406d3c029a859281dc6b
50.4 kB Preview Download

Additional details

Identifiers

Dates

Issued
2017-12

CERN

Accelerator
CERN AD

Linked records